Информатика

Всё о сервере, форум!
Основы программирования
ИНФОРМАЦИОННО-РАЗВЛЕКАТЕЛЬНЫЙ ПОРТАЛ

ОГЭ, ЕГЭ, ТЕОРИЯ, ПРАКТИКА, ТЕСТЫ

Математика - Варианты ОГЭ
Вариант 163


Задание

На координатной прямой отмечено число c.

Расположите в порядке убывания числа c, c2 и 1/c.

РЕШЕНИЕ:

Предположим, что а = -1/3

с =-1/3

с2 = (- 1/3/)2 = 1/9

1/с = - 3/1 = -3

Ответ: с2, с, 1/с

Задание

Найдите площадь треугольника, изображённого на рисунке.

РЕШЕНИЕ:

S = 1/2 ∙ основание ∙ высоту

основание = 32 + 10 = 42

S = 1/2 ∙ 42 ∙ 24 = 504

Ответ: 504

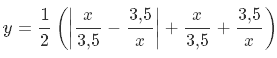
Задание

Постройте график функции

и определите, при каких значениях m прямая y=m имеет с графиком ровно одну общую точку.

РЕШЕНИЕ:



x/3.5 - 3.5/x = 0

x2 – 3.52 = 0
3.5x

________o __ + ___o _____o __ + ___
_______ – 3.5_______ 0 _____ 3.5

При х ∈ ( – 3,5; 0) ∪ (3,5; +∞)

y = 1/2 ( х/3,5 - 3,5/х + х/3,5 + 3,5/х)
у = х / 3,5 - прямая

При х ∈( – ∞; – 3,5) ∪ (0; 3,5)

y = 1/2 ( – х/3,5 + 3,5/х + х/3,5 + 3,5/х)
у = 3,5/х



Ответ: (0;+∞)

Задание

Середина M стороны AD выпуклого четырёхугольника равноудалена от всех его вершин. Найдите AD, если BC=14, а углы B и C четырёхугольника равны соответственно 98∘ и 127∘.

РЕШЕНИЕ:

Точка М равноудалена от вершин ⇒ четырехугольник вписан в окружность, AD диаметр



дуга АС = 2 ∠В = 2 ∙ 98 = 196
дуга ВЕ = 2 ∠С = 2 ∙ 127 = 254

сумма всех дуг окружности 360о

ВС + АС + BE – 180 = 360
BC + 196 + 254 - 180 = 360
BC + 270 = 360
BC = 90

∠BMC опирается на дугу ВС, ∠BMC = ВС = 90о

∆BMC прямоугольный равнобедренный треугольник, ВС = 14

а2 + а2 = 142
2 = 142
а = 7√2

АЕ = 2а = 2 ∙ 7√2 = 14√2

Ответ: 14√2

При копировании материала с сайта активная ссылка обязательна!
Сайт управляется SiNG cms © 2010-2015