|
Математика - Варианты ОГЭ
Вариант 165
Задание Найдите значение выражения 1 / (1/36−1/44)
Задание На клетчатой бумаге с размером клетки 1×1 изображён треугольник. Найдите его площадь.

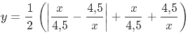
Задание Постройте график функции
и определите, при каких значениях m прямая y=m имеет с графиком ровно одну общую точку.
РЕШЕНИЕ:
x/4.5 - 4.5/x = 0
x2 – 4.52 = 0
4.5x
____ – ____ o __ + ___ o __ – ___ o __ + ___
_______ – 4.5 _______ 0 _____ 4.5
При х ∈ ( – 4.5; 0) ∪ (4.5; +∞)
y = 1/2 ( х/4.5 - 4.5/х + х/4.5 + 4.5/х)
у = х / 4.5 - прямая
При х ∈( – ∞; – 4.5) ∪ (0; 4.5)
y = 1/2 ( – х/4.5 + 4.5/х + х/4.5 + 4.5/х)
у = 4.5/х
Ответ: (0;+∞) Задание Точка D на стороне AB треугольника ABC выбрана так, что AD=AC. Известно, что ∠CAB=52° и ∠ACB=127°. Найдите угол DCB. Ответ дайте в градусах.

|
|