|
Математика - Варианты ОГЭ
Вариант 373
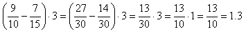
Задание Найдите значение выражения (9/10−7/15)⋅3 .
Задание Закон всемирного тяготения можно записать в виде F=γm1m2 / r2, где F — сила притяжения между телами (в ньютонах), m1 и m2 — массы тел (в килограммах), r — расстояние между центрами масс тел (в метрах), а γ — гравитационная постоянная, равная 6,67⋅10−11 Н ⋅ м 2 /кг 2. Пользуясь этой формулой, найдите массу тела m1 (в килограммах), если F=0,2001 Н, m2=2⋅108 кг, а r=2 м. Задание На рисунке изображён график изменения атмосферного давления в некотором городе за три дня. По горизонтали указаны дни недели, по вертикали — значения атмосферного давления в миллиметрах ртутного столба. Укажите наибольшее значение атмосферного давления в среду (в мм рт. ст.).

Задание Найдите острые углы прямоугольного треугольника, если его гипотенуза равна 28, а площадь равна 98.
|
|