|
Математика - Варианты ОГЭ
Вариант 376
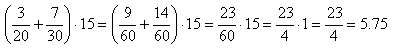
Задание Найдите значение выражения (3/20+7/30)⋅15 .
Задание Найдите значение выражения
__x2___ : __x__ при x = 7 + 2√7 , y = 7 − √7
x2−2xy__ x2−4y2
Задание На рисунке изображён график квадратичной функции y=f(x).

Какие из следующих утверждений о данной функции являются верными? Запишите их номера.
1) Наибольшее значение функции равно 9
2) f(0)<f(4)
3) Функция возрастает на промежутке [2; +∞)
Задание Прямые m и n параллельны. Найдите ∠3, если ∠1=111°, ∠2=18°. Ответ дайте в градусах.

|
|