Информатика

Всё о сервере, форум!
Основы программирования
ИНФОРМАЦИОННО-РАЗВЛЕКАТЕЛЬНЫЙ ПОРТАЛ

ОГЭ, ЕГЭ, ТЕОРИЯ, ПРАКТИКА, ТЕСТЫ

Математика - Варианты ОГЭ
Вариант 403


Задание

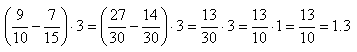
Найдите значение выражения (9/10−7/15)⋅3

РЕШЕНИЕ:



Ответ: 1.3

Задание

Точка H является основанием высоты, проведённой из вершины прямого угла B треугольника ABC к гипотенузе AC. Найдите AB, если AH=3, AC=12.
РЕШЕНИЕ:


AB² = 3 ∙ 12 = 36

AB = 6

Ответ: 6

Задание

Постройте график функции

y= −x2−2x+2, если x≥−3,
−x−4, если x<−3,

и определите, при каких значениях m прямая y=m имеет с графиком ровно две общие точки.

РЕШЕНИЕ:

y= −x2−2x+2, если x≥−3,
−x−4, если x<−3,



Ровно две общие точки при х= – 3 и х= – 1 ⇒ у= – 1 и у = 3

Ответ: – 1 ; 3

Задание

В треугольнике ABC известны длины сторон AB=8, AC=64, точка O — центр окружности, описанной около треугольника ABC. Прямая BD, перпендикулярная прямой AO, пересекает сторону AC в точке D.
Найдите CD.
РЕШЕНИЕ:

AD = 8 * 8 / 64 = 1
DC = 64 - 1 = 63
Ответ: 63

При копировании материала с сайта активная ссылка обязательна!
Сайт управляется SiNG cms © 2010-2015