|
Математика - Варианты ОГЭ
Вариант 169
Задание Найдите значение выражения 1 / (1/36 + 1/45)
Задание В трапеции ABCD известно, что AD=4 , BC=1, а её площадь равна 35. Найдите площадь треугольника ABC.

РЕШЕНИЕ:
S ∆ABC = 1 * 35 / ( 1 + 4 ) = 7
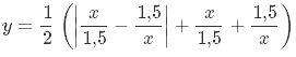
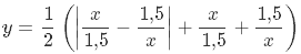
Ответ: 7 Задание Постройте график функции
и определите, при каких значениях m прямая y=m имеет с графиком ровно одну общую точку.
РЕШЕНИЕ:
x/1.5 - 1.5/x = 0
x2 – 1.52 = 0
1.5x
____ – ____ o __ + ___ o __ – ___ o __ + ___
_______ – 1.5 _______ 0 _____ 1.5
При х ∈ ( – 1.5; 0) ∪ (1.5; +∞)
y = 1/2 ( х/1.5 - 1.5/х + х/1.5 + 1.5/х)
у = х / 1.5 - прямая
При х ∈( – ∞; – 1.5) ∪ (0; 1.5)
y = 1/2 ( – х/1.5 + 1.5/х + х/1.5 + 1.5/х)
у = 1.5/х
Ответ: (0;+∞) Задание Площадь прямоугольного треугольника равна 288√3 . Один из острых углов равен 60°. Найдите длину катета, прилежащего к этому углу.

РЕШЕНИЕ:
a² = 2 ∙ 288 √ 3 / tg 60 = 2 ∙ 288 ∙ √ 3 / √ 3 = 576
a = √ 576 = 24
Ответ: 24
|
|