Информатика

Всё о сервере, форум!
Основы программирования
ИНФОРМАЦИОННО-РАЗВЛЕКАТЕЛЬНЫЙ ПОРТАЛ

ОГЭ, ЕГЭ, ТЕОРИЯ, ПРАКТИКА, ТЕСТЫ

Математика - Варианты ОГЭ
Вариант 1715


Задание

Найдите значение выражения
5− 5⋅5− 2
5− 6
РЕШЕНИЕ:
5 -5 ⋅ 5 -2 = 5 ( -5 )+( -2 )-( -6 ) = 5 -1 = 1/ 5
5 -6
Ответ: 1/ 5

Задание

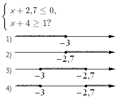
На каком рисунке изображено множество решений системы неравенств


РЕШЕНИЕ:

x ≤ – 2.7
x ≥ 1 – 4

x ≤ – 2.7
x ≥ – 3

Ответ: 3

Задание

В треугольнике ABC биссектриса угла A делит высоту, проведённую из вершины B, в отношении 5:3, считая от точки B. Найдите радиус окружности, описанной около треугольника ABC, если BC=16.
РЕШЕНИЕ:


cos A = АМ/АВ = КM/КB = 3/5

sin A = √(1 - cos²A) = √(1-(3/5)²) = √(16/25) = 4/5

по т. синусов

ВС/ sin A = 2 R

16 : 4/5 = 2 R

16 ∙ 5/4 = 2 R

20 = 2 R

R = 20 : 2 = 10

Ответ: 10

Задание

Основания равнобедренной трапеции равны 9 и 21, а её боковые стороны равны 10. Найдите площадь трапеции.
РЕШЕНИЕ:


a = 9
b = 21

ED = ( 21 - 9 ) / 2 = 6

h² = CD² - ED² = 10 ² - 6 ² = 64

h = √ 64 = 8

S = ( 9 + 21 ) / 2 ∙ 8 = 120

Ответ: 120

При копировании материала с сайта активная ссылка обязательна!
Сайт управляется SiNG cms © 2010-2015