|
Математика - Варианты ОГЭ
Вариант 372
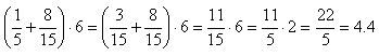
Задание Найдите значение выражения (1/5+8/15)⋅6 .
Задание Решите уравнение x3=2x2+15x.
Задание Постройте график функции y=|x|x−|x|−5x и определите, при каких значениях m прямая y=m имеет с графиком ровно две общие точки.
РЕШЕНИЕ:
y=|x|x−|x|−5x
при х > 0 y = x 2 – x – 5x = x 2 – 6x
при х > 0 y = x2 – 6x
при х < 0 y = – x 2 + x – 5x = – x 2 – 4x
при х < 0 y = – x2 – 4x
Ответ: – 9 ; 4 Задание Отрезок AB=65 касается окружности радиуса 72 с центром O в точке B. Окружность пересекает отрезок AO в точке D. Найдите AD.

|
|