|
Математика - Варианты ОГЭ
Вариант 377
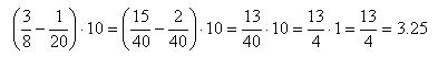
Задание Найдите значение выражения (3/8−1/20)⋅10.
Задание Найдите значение выражения
xy+y2 : x2−y2 при x=0,6 и y=0,2.
х _____ х
Задание Андрей и Иван соревновались в 50-метровом бассейне на дистанции 100 м. Графики их заплывов показаны на рисунке. По горизонтальной оси отложено время в секундах, а по вертикальной — расстояние пловца от старта в метрах. Кто быстрее проплыл первую половину дистанции? В ответе запишите, на сколько секунд быстрее он проплыл первую половину дистанции.

Задание Отрезок AB=21 касается окружности радиуса 72 с центром O в точке B. Окружность пересекает отрезок AO в точке D. Найдите AD

|
|