|
Математика - Варианты ОГЭ
Вариант 495
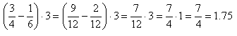
Задание Найдите значение выражения (3/4−1/6)⋅3 .
Задание Найдите значение выражения
7ab__⋅( a − 7b ) при a=7√2 +7, b=√2 −9.
a+7b __ 7b __ а
Задание У бабушки 25 чашек: 7 с красными цветами, остальные с синими. Бабушка наливает чай в случайно выбранную чашку. Найдите вероятность того, что это будет чашка с синими цветами.
Задание На рисунке изображён колодец с «журавлём». Короткое плечо имеет длину 2 м, а длинное плечо — 4 м. На сколько метров опустится конец длинного плеча, когда конец короткого поднимется на 1,5 м?

|
|